INMUNOSPORIN
|
ELEA | |
| Ciclosporina | ||
|
Antiinflamatorios Antialérgicos [Oftálmicos] |
||
|
Venta Bajo Receta Solución Oftálmica Estéril Industria Argentina |
||
|
||
|
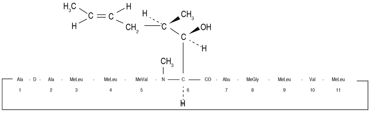
COMPOSICION: Cada 100 ml de solución oftálmica contiene: Ciclosporina 0.10 g. Excipientes: Polioxil 35 Aceite de Castor, Polisorbato 80, Ácido Bórico, Borato de Sodio Decahidratado, Edetato Disódico Dihidrato, Bisulfito de Sodio, Hialuronato de Sodio, Polihexanida Solución al 20 %, Ácido Clorhídrico, Hidróxido de Sodio, Agua Purificada. ACCION: Inmunomodulador y antiinflamatorio de uso tópico oftálmico. Código ATC: S01XA18. INDICACIONES: La ciclosporina está indicada para el tratamiento de la kueratoconjuntivitis sicca de moderada a severa, aumentando la secreción lagrimal, que se halla disminuida y manteniendo la integridad de la superficie ocular. Proporciona, al mismo tiempo, alivio de los síntomas asociados con la sequedad ocular. Tratamiento de la conjuntivitis vernal. DOSIS: Como posología orientativa, se recomienda instilar 1 gota de Inmunosporin® 2 veces por día en ambos ojos, aproximadamente cada 12 horas. Inmunosporin® puede ser utilizado en forma concomitante con lágrimas artificiales, los fármacos deberán ser administrados al menos con un intervalo de 15 minutos entre uno y otro. Si usa lentes de contacto, estos deben ser removidos previo a la instilación de la solución oftálmica de Inmunosporin, y vueltos a colocar luego de al menos 15 minutos posteriores a la instilación. CONTRAINDICACIONES: Inmunosporin® está contraindicado en pacientes con infecciones oculares activas, ya que existe el riesgo de agravar la infección por inhibición de la inmunidad, y en aquellos pacientes con hipersensibilidad conocida a cualquiera de los componentes de su fórmula. ADVERTENCIAS: No inyectar. No ingerir. Inmunosporin® no ha sido estudiado en pacientes con historia de queratitis herpética. No utilizar el medicamento después de la fecha de vencimiento indicada. EFECTOS: El efecto adverso más común fue el ardor ocular con una incidencia del 16 %. Otros efectos adversos (entre el 1 % y el 5 % de los pacientes) incluyen picazón/irritación ocular, secreción lagrimal, sensación de cuerpo extraño, prurito, hiperemia conjuntival, fotofobia, visión borrosa, cefalea, edema palpebral y dolor ocular. Otras reacciones identificadas tras el uso oftálmico de ciclosporina solución fueron: Inflamación ocular, hipersensibilidad (urticaria, casos raros de angioedema, hinchazón de rostro, de lengua, faríngeo y también disnea), como injuria ocular por tocar con el pico del producto la superficie ocular. Tener en cuenta que estas reacciones reportadas en la comercialización fueron para una población de un tamaño desconocido y, por otro lado, no siempre es posible estimar la frecuencia o establecer una relación causal a la exposición al producto. PRECAUCIONES: Para evitar la contaminación del frasco gotero, no poner en contacto el pico con el ojo o cualquier otra superficie. Cerrar el frasco gotero inmediatamente después del uso. Procurar uso individual del producto. Utilizar el producto solo si el envase se halla intacto. Si usa lentes de contacto, estos deben ser removidos previo a la instilación de la solución oftálmica de Inmunosporin, y vueltos a colocar luego de al menos 15 minutos posteriores a la instilación. Carcinogénesis, Mutagénesis, Trastornos de la fertilidad: Carcinogénesis: Los estudios de carcinogénesis sistémica fueron realizados en ratones y ratas machos y hembras. En un estudio realizado en ratones durante 78 semanas, se les administró dosis orales de 1, 4 y 16 mg/kg/día, encontrándose evidencia de una tendencia estadísticamente significativa de aparición de linfomas linfocíticos en hembras, y una incidencia de carcinoma hepatocelular en ratones machos con dosis moderadas, que excedió perceptiblemente el valor del control. En un estudio conducido en ratas, durante 24 meses, que recibieron dosis orales de 0.5, 2 y 8 mg/kg/día, la incidencia de adenomas celulares de islote pancreático excedió visiblemente el valor del control en el nivel de dosis baja. Considerar que las dosis bajas en ratones y ratas son aproximadamente 1000 y 500 veces mayores, que la dosis humana diaria tópica para una persona de 60 kg de peso que reciba 1 gota 2 veces por día de Inmunosporin® instilada en ambos ojos, asumiendo que es absorbida la dosis completa (equivalente aproximadamente a 2.3 microgramos de ciclosporina diarios). Mutagénesis: La ciclosporina no tuvo efectos mutagénicos o genotóxicos, demostrado en pruebas selectivas como: test de Ames, test de V79-HGPRT, test de micronúcleos en ratones y hámsteres de origen chino, pruebas de aberración cromosómica en médula ósea de hámsteres y el test de reparación de ADN en esperma de ratones tratados. Fertilidad: No se demostró impedimento en la fertilidad en estudios con ratas machos y hembras que recibieron dosis orales de ciclosporina de hasta 15 mg/kg/día (aproximadamente 15 000 veces la dosis diaria en un ser humano) durante 9 semanas (machos), y 2 semanas (hembras) previo al apareamiento. Efectos teratogénicos: Se observaron efectos adversos en estudios de reproducción en ratas y conejos solo a niveles de dosis tóxicas para estos. Fue embrio y fetotóxica a dosis orales tóxicas (ratas a 30 mg/kg/día y conejos a 100 mg/kg/día), de la solución de ciclosporina, evidenciándose aumento de la mortalidad pre y postnatal y reducción de peso fetal junto a retardos esqueléticos relacionados. Estas dosis son 30 000 y 100 000 veces mayor respectivamente (normalizado a la superficie corporal), que la dosis diaria humana de 1 gota al día en cada ojo de una persona de 60 kg, suponiendo que la totalidad de la dosis se absorbe. No se observó evidencia de toxicidad embriofetal en ratas o conejos que recibieron ciclosporina a dosis orales de hasta 17 mg/kg/día o 30 mg/kg/día, respectivamente, durante la organogénesis. Estas dosis en ratas y conejos son aproximadamente 17 000 y 30 000 veces mayor (normalizado a la superficie corporal), respectivamente, que la dosis humana diaria. Se observó así mismo un incremento de la mortalidad postnatal en crías de ratas cuyas madres habían recibido una dosis oral de 45 mg/kg/día de ciclosporina a partir del día 15 de la gestación hasta el día 21 después del parto, un nivel toxico para la madre; esta dosis es 45 000 veces mayor que la dosis tópica diaria humana suponiendo que la totalidad de la dosis se absorbe. No se observaron eventos adversos a dosis orales de hasta 15 mg/kg/día 15 000, veces mayor que la dosis diaria humana). Embarazo: No existen estudios adecuados y bien controlados en mujeres embarazadas, ya que los estudios efectuados en reproducción animal no siempre predicen la respuesta en los seres humanos. Inmunosporin® solo debe usarse en el embarazo si el beneficio potencial para la madre justifica el riesgo potencial para el feto. Lactancia: La ciclosporina es excretada a través de la leche humana tras la administración por vía sistémica. Sin embargo, no se ha establecido si la ciclosporina aplicada en forma tópica es excretada en la leche humana. No debe administrarse Inmunosporin® a mujeres durante el período de lactancia. Empleo en pediatría: La seguridad y efectividad de Inmunosporin® no han sido establecidas en pacientes pediátricos. Empleo en geriatría: No se han observado diferencias clínicas en la seguridad y efectividad de ciclosporina oftálmica entre la población de edad avanzada y otros pacientes adultos. INTERACCIONES: No existen evidencias de la interacción con otros medicamentos. En caso de administrarse simultáneamente con otros colirios, deberán efectuarse las instilaciones con un intervalo de 15 minutos entre una y otra aplicación. SOBREDOSIFICACION: No existe información disponible de sobredosificación en humanos. En el caso de ingestión accidental consulte al hospital más cercano o comuníquese con los siguientes centros de toxicología: Hospital de Pediatría «Ricardo Gutiérrez»: Tel. (011) 4962 6666 / 2247. Hospital «A. Posadas»: Tel.: (011) 4654 6648 / 4658 7777. Centro Nacional de Intoxicaciones: Tel.: 0800 333 0160. Para otras consultas: Centro de atención telefónica de Laboratorio Elea 0800 333 3532. PROPIEDADES: Acción farmacológica: La ciclosporina administrada por vía sistémica es un agente inmunosupresor. La ciclosporina oftálmica actuaría como inmunomodulador, aumentando la producción de lágrimas en aquellos pacientes con secreción lagrimal suprimida presumiblemente debido a la inflamación ocular asociada a la queratoconjuntivitis sicca. Su efecto inmunomodulador lo ejerce inhibiendo la activación de NF-kB, factor nuclear involucrado en la regulación de genes en la respuesta inmune y proinflamatoria de las citocinas, como TNF, IL-1, IL-2 e IL-8. Como antiinflamatorio, actúa sobre las células T cooperadoras (T helpers) identificadas en los tejidos de la superficie ocular y las glándulas lagrimales, las cuales desempeñan un papel importante no solo en la respuesta inmune, sino también en la respuesta inflamatoria a través de la síntesis de citoquinas. La supresión de la respuesta inmune ocurre en los tejidos de la superficie ocular debido a que estas citocinas proinflamatorias específicas son esenciales para activar las células T cooperadoras, que no pueden sintetizarse o liberarse como lo hacen normalmente. La ciclosporina in vitro inhibió la producción de citoquinas (IL-2, IL-4, IL-5, IFN-λ) en células mononucleares provenientes de sangre capilar humana (Valor IC50: 0.021 - 0.173 μM). Estudios clínicos con ciclosporina emulsión oftálmica en pacientes con keratoconjuntivitis sicca, cuya producción lacrimal se presumía estaba suprimida debido a inflamación, se demostró un incremento significativo del test de Schirmer de 10 mm vs el vehículo a los 6 meses. La ciclosporina en un péptido cíclico de 11 aminoácidos (undecapeptido) de fórmula: C62H111N11O12 y Peso Molecular: 1202.61. Fórmula estructural: Ver Tabla Farmacocinética: Se evaluaron las concentraciones de ciclosporina A en sangre tras la administración tópica de ciclosporina 0.05 % en seres humanos, 2 veces por día durante 12 meses. Los valores obtenidos en sangre en todas las muestras fueron inferiores al límite de cuantificación (0.1 ng/ml). No se produjeron acumulaciones en sangre cuantificables de la droga durante los 12 meses de tratamiento con ciclosporina solución oftálmica. Tras la instilación oftálmica única de la solución oftálmica de 3H-ciclosporina al 0.05 % en conejos blancos, esta se distribuyó en alto grado a la córnea y tejidos extraoculares como la conjuntiva, sin embargo, el pasaje a tejidos intraoculares como humor acuoso, iris-cuerpos ciliares, cristalino y cuerpo vítreo fue menor. En conejos blancos se alcanzó el estado estable de la concentración intratisular oftálmica tras más de 10 instilaciones oculares con 3H ciclosporina al 0.0 5%, 3 veces al día durante 7 días en forma reiterada. La ciclosporina se metaboliza principalmente por el citocromo P450 3a (CYP3A). Por lo tanto, ante el uso asociado con otros fármacos que se metabolizan por la misma enzima, podría elevarse su concentración en sangre. Tras la instilación ocular por única vez de 3H ciclosporina al 0.1 % a ratas, la droga fue eliminada, luego de 96 h de la instilación ocular, principalmente por heces (92.1 %) y en menor medida por orina (3.1 %). Por otra parte, al instilar ocularmente la solución oftálmica de 3H-ciclosporina al 0.1 % a ratas sometidas a canalización de la vía biliar, la droga fue eliminada dentro de las 72 h de su instilación en bilis 11.7 %, 3.3 % en orina y 74.9 % en heces. USO: Instrucciones de uso: 1. Antes de aplicar la solución oftálmica de Inmunosporin, lávese bien las manos. 2. Abra la tapa del envase. Ante el primer uso rompa el precinto de seguridad. 3. Aplique el producto en el saco conjuntival del/los ojo/s afectado/s. Sugerencia para la autoadministración de gotas: Incline la cabeza levemente hacia atrás y mire hacia un punto fijo en el techo. Con el dedo índice, presione el párpado inferior hacia abajo con suavidad formando una bolsa, este espacio es el saco conjuntival. Presione el frasco gotero para permitir que la gota caiga en la bolsa o saco conjuntival, Luego de aplicar la gota, cierre sus ojos suavemente sin apretarlos. Oprima levemente la parte interior del ojo (por donde salen las lágrimas). Mantenga sus ojos cerrados, antes de abrirlos limpie suavemente con un pañuelo de papel lágrimas o restos de medicamento no absorbidos. 4. Finalizada la aplicación, coloque nuevamente la tapa en el envase. 5. Lávese nuevamente las manos, para evitar transportar posibles restos del medicamento. Importante: Evite contaminar la punta dosificadora del envase con el ojo, dedos u otras superficies. Mantenga el medicamento en el envase original bien cerrado. Se recomienda desechar el contenido del envase abierto, una vez concluido el tratamiento individual o luego de no más de 4 semanas de haber abierto el envase. CONSERVACION: Conservar desde 15 °C hasta 25 °C. Una vez abierto el frasco gotero, se recomienda utilizar las gotas oftálmicas de Inmunosporin dentro de las 4 semanas (1 mes). Pasado ese lapso de tiempo, se sugiere descartar el producto. OBSERVACIONES: Mantener los medicamentos fuera del alcance de los niños. Este medicamento debe ser usado exclusivamente bajo prescripción y vigilancia médica y no puede repetirse sin receta médica. PRESENTACIONES: Frasco gotero conteniendo 2 ml y 5 ml de solución oftálmica estéril. |
||
![]() Software para farmacias |
![]() Vademécum Digital |
| El contenido de este sitio está protegido por el derecho de propiedad intelectual, encontrándose prohibida su reproducción y distribución total o parcial por el medio que sea. | |